Medicion de Filtros con Arduino



En este post, vamos a realizar un programa muy simple que nos va a permitir medir un filtro y visualizarlo con el Serial Plotter.
El principio de funcionamiento es bastante sencillo, 
Debemos realizar un Sweep de frecuencia, esto se hace generando una salida de frecuencia, básicamente un oscilador, que va variando la frecuencia desde un valor bajo a un valor alto, por ejemplo comenzamos con 1kHz y vamos subiendo la frecuencia de forma continua hasta llegar a los 100kHz, esto es a modo ejemplo podrían ser otros valores pero quiero demostrar solamente que lo que necesitamos es variar frecuencia de forma continua y ascendente.


Aquí se puede ver mejor la idea, donde al principio tenemos la frecuencia mas baja y al final (a la derecha) la frecuencia mas alta, pero es un aumento de frecuencia de forma continua.

Una vez que logramos generar este Sweep o Tracking de Frecuencia, vamos a inyectar esto en el dispositivo bajo testeo (DUT) que queremos ensayar o medir, por ejemplo un filtro pasa bajos (LPF).



Donde dice Vin vamos a inyectar este Sweep de frecuencias, y donde dice Vout vamos a analizar el comportamiento.



Como podemos ver en la imagen del diagrama de respuesta en frecuencia del filtro, tenemos la mayor magnitud en frecuencias bajas, y a medida que aumenta la frecuencia comienza a bajar.
Si ponemos un voltimetro en la salida Vout, tendríamos que ver esta curva, primero con un valor de tensión máximo y luego a medida que la frecuencia aumenta podremos ver como desciende la tensión.
En nuestro circuito utilizaremos un canal analógico para medir la tensión Vout.
Entonces, con un canal digital generamos el Sweep de frecuencias y con un canal analógico leemos el valor de salida del filtro.



El programa: 

unsigned long previousMicros = 0;
volatile int interval = 500;
int i=500, j=0;
void setup(){
pinMode(7, OUTPUT);
Serial.begin(115200);
}
void loop(){
while(i!=0){
for(j=0;j<10;j++){
digitalWrite(7, !digitalRead(7));
delayMicroseconds(interval);
}
interval=i;
Serial.println(analogRead(A0));
i--;
}
}

En este programa utilizamos el Pin 7 como salida de Sweep, y el pin A0 como entrada del ADC.



Mi título contenido de la página

Amplificador Operacional con Fuente Simple



En este proyecto vamos a realizar un método para utilizar amplificadores operacionales con fuente simple, es decir entre +V y GND.
Esta es una opción muy interesante cuando no se tiene una fuente simétrica o cuando queremos realizar algún circuito de dimensiones reducidas donde no queremos agregar mucha electrónica para compensar esta fuente.
Si bien hay operacionales dedicados para trabajar con fuente simple como el viejo LM358, también podemos hacerlo con los demás operacionales.
La manera mas sencilla de entender esto es en primer paso, saber que una señal alterna posee un semicilo positivo y uno negativo.


En donde el negativo ya sabemos que no lo vamos a poder reproducir si no tenemos una fuente simétrica.
Entonces la forma mas sencilla para tratar esta señal sin omitir un semicilo es montando esta alterna en una continua.


Entonces cuando montamos la Alterna en la continua nos quedara de la siguiente manera.

Como se puede ver tenemos la Alterna montada sobre la continua.
Supongamos una señal alterna de 1kHz y 1Vpp, entonces tendremos un semicilo de 500mV y el otro de -500mV.
Ahora supongamos una continua en 2.5V (para que sea sencillo el calculo de Vcc/2 si alimentamos el amplificador con 5V).
En el ultimo gráfico suponemos 2.5V de continua y 1Vpp de AC.
Si medimos el mínimo y el máximo, tendremos Vmax: 2.5V+500mV=3V y Vmin: 2.5V-500mV=2V, entonces tenemos una señal que oscila entre 2 y 3V, como podemos ver es la mima señal que antes oscilaba entre -500 y 500mV, pero ahora la hemos desplazado hacia arriba en 2.5V.
Al trabajar de esta manera mantenemos la misma señal senoidal, pero lo que antes era el semicilco negativo, ahora se mantiene por encima de los 0V y podemos trabajar con nuestro operacional con fuente simple.

Ustedes estarán pensando que la señal original que tenían era de -500mV a 500mV, y que hay que montarla en DC, bueno en realidad la señal original no hay que tocarla, ya que esta sera acoplada mediante capacitores. Luego en el operacional fijaremos estos 2.5V y a la salida del operacional obtendremos esta alterna montada en continua, pero para obtener otra vez el ciclo negativo de la senoidal, debemos utilizar nuevamente el capacitor de salida, el capacitor recordemos que elimina la parte continua de la señal.

Si en lugar de poner R3 y R4, ponemos un potenciometro de 50k, podremos ir variando esta tensión continua, este offset, y podremos ver como llevamos la alterna de una punta a la otra del eje de tensión.
Hay que tener en cuenta que el LM358 no es Rail To Rail, lo cual la tensión de salida es menor a la tensión de alimentación.
Si necesitamos que la tensión de salida se encuentre cercana a la de salida tendremos que utilizar el LMV358, u otro Rail To Rail como el MCP6002.

¿Dónde fabricamos nuestros PCBs?
Nuestros PCBs los fabricamos con la empresa PCBWay, esta empresa nos permite realizar pequeñas cantidades como prototipos rápidos para nuestros desarrollos a medida.
También nos permite realizar grandes producciones para realizar proyectos comerciales.
Servicio de prototipo de PCB por tan solo $5 las 10 unidades.
Cada nuevo miembro recibirá un bono de $5, más servicio express de 24Hs o 48Hs.
Servicio de ensamblado de PCB por $88 más envió gratis en todo el mundo, más esténcil, más componentes.

PCBWay esta celebrando el Festival de Compras de noviembre y diciembre para la próxima Navidad y el Día de Acción de Gracias, prototipos gratuitos para PCB de Navidad del 25 de octubre al 10 de diciembre.
PCBWay Shopping Festival 2018 (Descuentos grandes, cupones y prototipos gratuitos para PCB navideños) 
Ingrese al siguiente Link: https://www.pcbway.com/PCBWayShoppingFestival2018.aspx?t=3

Un servicio de calidad!


Bobina Tesla Clásica



En este proyecto vamos a realizar de forma improvisada (sin realizar cálculos) ya que después quiero hacer una versión bien sintonizada y analizar las diferencias entre una y otra.
El principio de funcionamiento es relativamente simple
Tenemos un circuito RLC resonante, donde podríamos analizarlo como un transformador de relación elevadora, donde tenemos una relación de transformación muy grande. Por ejemplo de 1:300, ya que por ejemplo tendremos unas 3 o 4 espiras de primario y unas 1000 de secundario.
Usualmente uno imagina que va a utilizar un transformador elevador cuando posee una tensión baja y se requiere elevar a un nivel mayor.
Pero en este caso, el primario (de pocas espiras) lo alimentaremos con alta tensión. Es decir, vamos a utilizar una fuente generadora de alta tensión (por ejemplo unos 10kV) y con ese nivel de tensión vamos a alimentar el primario, 
Pero no podemos alimentar el primario asi nada mas, debemos ingresar estos 10kV en un circuito RLC o LC, en este caso vamos a eliminar la R (existe en los cables, conexiones, componentes, etc, pero vamos a eliminarlo para que sea mas sencillo).
Entonces, vamos a cargar el capacitor con alta tensión (estos capacitores deben soportar esta tensión y mas), una vez que los capacitores realicen su carga debemos descargarlo, entonces para ello vamos a usar un SparkGap o Explosor (esto es dos terminales a una determinada distancia para que se produzca la descarga eléctrica). 
Una vez que la tensión en el capacitor alcanza un valor de tensión determinado, se descargara mediante este SparkGap, en el momento en donde se descarga, es el momento en donde se produce la FCEM en el primario Tesla, y se genera inducción en el secundario.
Los valores de inductancia y capacitancia para que el circuito entre en resonancia, es función tanto de estos compoenentes pasivos como también de la descarga eléctrica de los capacitores en el sparkgap, ya que si le dejamos una distancia corta el capacitor descargara mas rápido. 
Hay mucho que calcular, pero en resumen este es el funcionamiento de base.
No nos olvidemos que el secundario Tesla también tiene un capacitor en paralelo, este capacitor es el mismo dieléctrico del aire (aunque parezca algo despreciable, hay que calcularlo para que sea un circuito resonante).
En el diagrama podemos ver la fuente de Alta Tensión, el SparkGap que debemos ajustar su distancia para ajustar la descarga de los capacitores (usualmente varios capacitores en serie de alta tensión).
La bobina primaria Lp y la bobina secundaria Ls, también podemos ver el Descargador de alta tensión, si dejamos el extremo del alambre de la bobina obtendremos la salida de alta tensión y alta frecuencia Tesla, pero si agregamos una bola (que sea una esfera sin puntas o lados rectos) realizaremos un capacitor electrostático que aumentara aun mas la tensión de salida.

Hasta aquí son solo bobinas y capacitores, pero tal vez algo complicado de obtener sea la fuente de alta tensión, en las bobinas tesla mas populares se suele emplear un transformador para lamparas de neon (esto proporcionan entre 10kV y 20kV, también entre una corriente de 10mA y 200mA) estos son bastante letales... hay que tener cuidado al utilizarlo.
Pero en mi caso no lo tengo, por lo que utilice un transformador estandar de 220V a 12V 300mA, que esta utilizado de forma invertida, es decir ingreso 12V y obtengo los 220V (esto es si utilizamos senoidal en la entrada de 12V).
En mi caso he utilizado un 555 con un transistor de potencia para hacer oscilar el primario de este transformador de 12 a 220V, entonces aqui no tenemos senoidal, tenemos una continua pulsante, entonces la tensión de salida ya son mas de 220V sino entre 1kV y 3kV aproximadamente.
Con esto ya podemos alimentar el circuito LC del primario Tesla.


¿Dónde fabricamos nuestros PCBs?
Nuestros PCBs los fabricamos con la empresa PCBWay, esta empresa nos permite realizar pequeñas cantidades como prototipos rápidos para nuestros desarrollos a medida.
También nos permite realizar grandes producciones para realizar proyectos comerciales.
Servicio de prototipo de PCB por tan solo $5 las 10 unidades.
Cada nuevo miembro recibirá un bono de $5, más servicio express de 24Hs o 48Hs.
Servicio de ensamblado de PCB por $88 más envió gratis en todo el mundo, más esténcil, más componentes.

PCBWay esta celebrando el Festival de Compras de noviembre y diciembre para la próxima Navidad y el Día de Acción de Gracias, prototipos gratuitos para PCB de Navidad del 25 de octubre al 10 de diciembre.
PCBWay Shopping Festival 2018 (Descuentos grandes, cupones y prototipos gratuitos para PCB navideños) 
Ingrese al siguiente Link: https://www.pcbway.com/PCBWayShoppingFestival2018.aspx?t=3

Un servicio de calidad!




Fuente Capacitiva sin Transformador

ATENCIÓN, ESTE CIRCUITO UTILIZA LA RED ELÉCTRICA, NO POSEE AISLACIÓN Y PODRÍA PRESENTAR RIESGO ELÉCTRICO SI NO SE MANIPULA DE FORMA CORRECTA.
SE RECOMIENDA MONTAR ESTE CIRCUITO EN UN GABINETE PLÁSTICO SIN ACCESO A NINGUNA DE SUS PARTE INTERNAS DE FORMA DIRECTA CON EL CUERPO.
SI SE UTILIZAN BOTONES O INDICADORES, SE RECOMIENDA QUE ESTOS ESTÉN AISLADOS.


En este post, vamos a realizar una fuente del tipo Trnasformerless (Fuente sin transformador).
Actualmente podemos encontrar algunas variantes, en su principal variación encontramos las Capacitivas y las Resistivas.
También dentro de estas podemos encontrar las que vienen con puente rectificador completo, con medio puente o con un solo diodo.
El caso de fuente resistiva estaría descartado porque necesitaríamos resistencias de potencia (entre 10 y 20W) para obtener una corriente que no llega a los 100mA en la salida, lo cual es un circuito muy poco eficiente.
Aparte del calor y el tamaño de estas resistencias, también tenemos el problema del costo.
Por este motivo el ganador sera el capacitor, y es por ello que encontramos muchas fuentes capacitivas en proyectos comerciales.

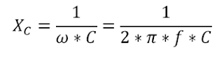
Para entender un poco el porque de usar un capacitor, tendríamos que entender un poco de como responde un capacitor a la frecuencia.
Como sabemos el capacitor es un componente pasivo del tipo reactivo, es decir, reacciona de determinada manera a la frecuencia y ciclo de trabajo que lo atraviesa.
Entonces podríamos encontrar una ecuación que lo represente y que nos proporcione un valor en ohms que representa este capacitor cuando lo sometemos a una determinada frecuencia.
Este valor se lo denomina Reactancia Capacitiva y se lo representa con las letras "Xc".



Como podemos ver, tenemos omega que es 2*pi*f, donde f es la frecuencia a la que sometemos nuestro capacitor, en mi caso son 50Hz.
Luego tenemos la capacidad expresada en Faradios.

Ejemplo: para 1uF y 50Hz, tendremos



Entonces, nuestra Reactancia Capacitiva sera Xc=3183Ohms, cuando sometemos este capacitor de 1uF a 50Hz, si en lugar de 50Hz lo sometemos a 100Hz, nos dara Xc=1591Ohms, entonces ya con estos valores vemos que a medida que aumentamos la frecuencia disminuye la reactancia del capacitor, de aquí podríamos desplegar mas temas, como filtros por ejemplo.
Sin irnos por las ramas, podemos ver que según la capacidad que utilicemos, tendremos un valor de reactancia distinto que en nuestro circuito funcionara como una resistencia limitadora de corriente y es este el componente que nos dira que corriente podremos extraer de esta fuente.

Por ejemplo para un circuito cerrado (un corto) en 220Vrms y un capacitor de 1uF en 50Hz, tendremos una corriente de:
Entonces nuestra máxima corriente de cortocircuito es de 69mA, es lo que pasara por nuestro capacitor, este disipara unos 15W, imaginen esta potencia en una resistencia.. tendríamos que usar una de cerámica mayor a 15W y seria una estufa, por eso utilizamos el capacitor.

En nuestra fuente sin transformador del tipo capacitiva, utilizaremos el siguiente circuito:



Como podemos ver, tenemos el circuito principal antes del puente rectificador, una Resistencia de 50 ohms, en serie con un paralelo entre el capacitor y una resistencia de 1 Mohms.
La función que cumple la resistencia de 50 Ohms, es la de amortiguar el encendido de la fuente para amortiguar o demorar la carga del capacitor y que de esta manera no se produzca un chispaso y el deterioro del circuito.



Como se puede ver en la imagen, tenemos un instante inicial donde el circuito esta apagado, pero luego tras el encendido, existe un salto muy fuerte en la amplitud, esto pasaría si justo encendemos nuestra fuente en el momento en donde la onda senoidal esta en un máximo, si tenemos la suerte de encenderlo en el momento que cruza por cero, entonces no tendríamos este problema, pero uno nunca sabe cuando cruza por cero y no podemos esperar ese cruce para encender el circuito, entonces ponemos una resistencia que amortigua la carga del capacitor y por ende el encendido de la fuente.

Luego, tenemos una resistencia en paralelo al capacitor, esta resistencia es de un valor muy alto, no nos modificara nuestro rendimiento, pero es importante porque es un elemento de protección para el usuario, cuando desenchufamos nuestra fuente podría quedar cargado el capacitor y por accidente si tocamos las patas del enchufe podríamos recibir una descarga, entonces con esta resistencia podemos descargar el capacitor de forma suave atravez de ella y reducimos el riesgo tras desenchufar la fuente.

El capacitor que deberíamos utilizar es del tipo X2, estos capacitores poseen protección contra cortocircuitos y circuito abierto, son algo costosos pero es el que debemos utilizar.
En cambio el 90% de los fabricantes ponen poliester que cuesta mucho menos pero no tiene estas protecciones contra corto circuito en su interior.
La tensión de este debe ser de al menos 250V, aunque habria que usar 400V si tenemos un pico de 300V de alterna.

Seguido de este circuito, tenemos nuestro puente rectificador de onda completa, simple puente que debe soportar la corriente y tensión de la fuente, el circuito en este punto ya esta limitado por el capacitor de entrada.

El capacitor de filtrado de fuente no requiere una gran capacidad ya que no es mucha la corriente que podremos obtener de esta fuente, pero es importante que miremos bien la tensión de aislación, en mi caso he utilizado 16V y 100uF, porque también estoy utilizando un diodo zener de protección para este capacitor, recordemos que la corriente máxima de cortocircuito de nuestra fuente es menor a 70mA, por ende la potencia de disipación en un zener de por ejemplo 13V sera de aproximadamente 900mW, esto si toda la corriente de cortocircuito pasa al zener, cosa que no es así porque se pierde en el resto de los componentes, por ende un Zener de 1W sobra para esto (este calculo es para un capacitor de 1uF, si el capacitor es menor entonces la corriente sera menos y la potencia del zener disminuye).

Luego por ultimo tenemos nuestro regulador Zener con su Resistencia Zener y un capacitor cerámico de filtrado, este es nuestro regulador, pero podríamos poner por ejemplo un 70L05 sin problemas también.

Mediciones con LTSpice:

Medición de Tensiones:
Medición de Corrientes:
En la practica se ha logrado encender un Arduino y que el mismo funcione correctamente, esto lo convierte en una fuente muy útil para nuestros proyectos que no requieren contacto con el usuario (por riesgo eléctrico, por tratarse de una fuente sin aislación de la red eléctrica).
Como así también podemos implementarlo en una fuente para encender LEDs, que es el uso mas común que hoy en día le están dando.


______________________________________________________________________


¿Dónde fabricamos nuestros PCBs?
Nuestros PCBs los fabricamos con la empresa PCBWay, esta empresa nos permite realizar pequeñas cantidades como prototipos rápidos para nuestros desarrollos a medida.
También nos permite realizar grandes producciones para realizar proyectos comerciales.
Servicio de prototipo de PCB por tan solo $5 las 10 unidades.
Cada nuevo miembro recibirá un bono de $5, más servicio express de 24Hs o 48Hs.
Servicio de ensamblado de PCB por $88 más envió gratis en todo el mundo, más esténcil, más componentes.

PCBWay esta celebrando el Festival de Compras de noviembre y diciembre para la próxima Navidad y el Día de Acción de Gracias, prototipos gratuitos para PCB de Navidad del 25 de octubre al 10 de diciembre.
PCBWay Shopping Festival 2018 (Descuentos grandes, cupones y prototipos gratuitos para PCB navideños) 
Ingrese al siguiente Link: https://www.pcbway.com/PCBWayShoppingFestival2018.aspx?t=3

Un servicio de calidad!


Review Lampara LED con Batería - Circuito



En esta nota vamos a realizar el revisado de una lampara LED de emergencia (con batería recargable en su interior), vamos a probar la misma y vamos a desarmarla para ver como esta construida y que funciones cumple su circuito.

La lampara es de 9W y posee en su interior LEDs y Batería para cortes de Luz, podremos ver en la siguiente imagen la lampara en si.



Esta lampara requiere de una instalación con interruptor individual, es decir, en donde pongamos esta lampara tenemos que tener solo esta lampara, y por ejemplo no puede estar en un artefacto de varias lamparas.
Esto es así porque el método que utiliza el circuito para darse cuenta de que se corto la luz, es mediante el flujo de una pequeña corriente que hace circular por los bornes del zocalo de la lampara, esta corriente del orden de los microamperes, se encuentra con distintos artefactos conectados en la instalación eléctrica y entiende que debe cerrar el circuito y encender los leds de emergencia.

Para el encendido estándar posee 12LEDs, luego un LED extra que encenderá cuando la batería esta cargada y por ultimo otros 5LEDs de backup para cortes de luz (2.5W).
En resumen, cuando la batería esta descargada, solo encenderán 12 LEDs (al mismo tiempo que esta encendida comenzara la carga de batería).
Cuando la batería obtiene toda su carga, entonces enciende los 6 LEDs restantes, sumando así 18LEDs de 500mW cada uno.

Para comprobar esta pequeña corriente de fuga de detección de corte de luz, podremos cerrar el circuito con nuestros dedos, tocando los dos bornes del zocalo de la lampara, debido a la resistencia de nuestra piel (del orden de algunas decenas de kilo ohms).



Según el manual de nuestra lampara, tendremos una autonomía de unas 4 horas con la batería, y un tiempo de carga total de 6 horas., Gracias a que podemos cerrar el circuito de esta fuga de corriente, podremos usar un interruptor y apagar o encender la luz durante el corte de luz y así estirar un poco mas su autonomía.

El circuito:

Aquí podremos ver la fuente Transformerless, en este caso es capacitiva, tenemos la configuración básica, seguida de 12 LEDs de 500mW que son los anteriormente mencionados en el uso común de la lampara, luego tenemos una resistencia limitadora de 47 ohms, y aquí tenemos una bifurcación, donde cargaremos la batería 18650 de litio (una locura... cargarla solo con un diodo... pero entiendo que no les interesa mucho la vida útil de este producto), luego un diodo led LED6, que prenderá los otros 5 LEDs en paralelo.
Cuando la batería se encuentra descargada, entonces la corriente de carga es mayor, entonces por ley de kirchhoff, la mayor parte de corriente pasara a los primeros 12 LEDs y mediante el diodo hacia la batería, luego cuando la batería completa su carga, disminuye la corriente de carga, dejando pasar la mayoría hacia el LED6 y los demás LEDs en paralelo.
Una vez que la energía eléctrica sufre un corte, la batería puede encender los 5 LEDs en paralelo, mediante el transistor MOS Q2, que a su vez se activara mediante el PNP Q1, esta saturación sera posible cuando se cierre el circuito en los terminales de la lampara, ya que podremos ver que la base de Q1 posee un divisor resistivo en base a R7 1Mohm, y la serie de R8, R9, R1 y R2. Como esta serie conforma un valor alto al igual que R7, entonces la corriente sera del orden de los micro amperes, y por ello es que podemos encenderlo con nuestras manos.

Conclusión, creo que es una lampara diseñada a medias, la fuente Transformerless es clásica,... podría tener algunas protecciones mas, un capacitor X2 en lugar de un polister (este es mas barato), pero sobre todas las cosas el problema mayor es el "cargador" de baterías que esta posee (un diodo...) cuando todos sabemos los cuidados que requiere una batería de iones de litio.

¿Dónde fabricamos nuestros PCBs?
Nuestros PCBs los fabricamos con la empresa PCBWay, esta empresa nos permite realizar pequeñas cantidades como prototipos rápidos para nuestros desarrollos a medida.
También nos permite realizar grandes producciones para realizar proyectos comerciales.
Servicio de prototipo de PCB por tan solo $5 las 10 unidades.
Cada nuevo miembro recibirá un bono de $5, más servicio express de 24Hs o 48Hs.
Servicio de ensamblado de PCB por $88 más envió gratis en todo el mundo, más esténcil, más componentes.

PCBWay esta celebrando el Festival de Compras de noviembre y diciembre para la próxima Navidad y el Día de Acción de Gracias, prototipos gratuitos para PCB de Navidad del 25 de octubre al 10 de diciembre.
PCBWay Shopping Festival 2018 (Descuentos grandes, cupones y prototipos gratuitos para PCB navideños) 
Ingrese al siguiente Link: https://www.pcbway.com/PCBWayShoppingFestival2018.aspx?t=3

Un servicio de calidad!


Calculo de Núcleos Toroidales y Saturacion



En esta nota realizaremos los cálculos necesarios para construir un núcleo toroidal a partir de los parámetros geométricos, realizaremos una búsqueda de núcleo en base al indice de autoinducción y realizaremos los cálculos necesarios para una fuente boost con un 555.
Podremos ver la saturación de un núcleo en el osciloscopio y comprobar el problema de este en base al consumo e impedancia.

Los primeros cálculos que realizaremos son en base a la vieja ley de Ampere, donde podremos obtener el valor de inductancia en base a los parámetros geométricos de diseño, tal vez sea la manera mas complicada de hacerlo, aunque si este es el caso prefiero utilizar alguna de las tantas calculadoras online que aparecen en el buscador de google.
El camino mas feliz seria el de utilizar un núcleo homologado, que posee alguna nomenclatura o part number, y a su vez un datasheet asociado.
Este es el camino que tendríamos que tomar, es decir, si sabemos el indice de autoinducción "AL" entonces podemos saber cuantas espiras de alambre necesitamos para obtener determinada inductancia.
Claro que habría que ver también en el datasheet que potencia máxima soporta ese tamaño de core y que sección mínima requerimos para el alambre.


Aquí podremos ver primero el desarrollo de la ley de Ampere, y en segundo lugar mas abajo, podremos ver las 3 formas en la que podremos calcular el indice de autoinducción "AL".

Ahora vamos a ver un Datasheet para un inductor comercial. Por ejemplo para el core T2007-CF195, tenemos un AL de 4850, como podremos ver en el datasheet de "Prodin Ferrite"



Sabiendo este valor de AL, entonces podríamos saber cuantas espiras necesitamos para realizar determinada bobina.

Si tenemos un núcleo sin AL, porque no sabemos el nombre o nomenclatura del mismo, entonces podríamos realizar algunas mediciones, por ejemplo hacer 5 espiras en ese núcleo, y medir su inductancia, luego hacer 10 espiras y medir su inductancia y por ultimo unas 15 espiras y medir su inductancia, entonces con las formulas detalladas anterior mente podríamos obtener 3 valores de AL que podríamos promediar y así obtener un AL estimado para ese núcleo.
Claro, necesitamos un medidor de inductancias para ello.

Ahora vamos a realizar una serie de cálculos para medir la bobina y capacitor en una fuente DC DC tipo Boost.
Con estas simples ecuaciones podremos calcular de forma sencilla una fuente del tipo Boost, genérica, esto es así porque si usamos algún integrado dedicado (LM2695, XL4005, MC34063, etc...) debemos utilizar las formulas que nos proveen ellos en su datasheet o nota de aplicación.
En este caso se ha implementado un circuito generador de PWM en base al viejo timer 555, con un transistor mosfet de uso general.


¿Dónde fabricamos nuestros PCBs?
Nuestros PCBs los fabricamos con la empresa PCBWay, esta empresa nos permite realizar pequeñas cantidades como prototipos rápidos para nuestros desarrollos a medida.
También nos permite realizar grandes producciones para realizar proyectos comerciales.
Servicio de prototipo de PCB por tan solo $5 las 10 unidades.
Cada nuevo miembro recibirá un bono de $5, más servicio express de 24Hs o 48Hs.
Servicio de ensamblado de PCB por $88 más envió gratis en todo el mundo, más esténcil, más componentes.

PCBWay esta celebrando el Festival de Compras de noviembre y diciembre para la próxima Navidad y el Día de Acción de Gracias, prototipos gratuitos para PCB de Navidad del 25 de octubre al 10 de diciembre.
PCBWay Shopping Festival 2018 (Descuentos grandes, cupones y prototipos gratuitos para PCB navideños) 
Ingrese al siguiente Link: https://www.pcbway.com/PCBWayShoppingFestival2018.aspx?t=3

Un servicio de calidad!